Products
HomeProducts Pilocarpine Pilocarpine EP Impurity C Sodium Salt
small
big

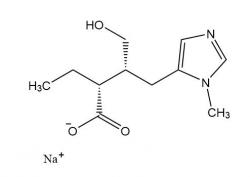
Pilocarpine EP Impurity C Sodium Salt

CAT#: P29814
Product Name: Pilocarpine EP Impurity C Sodium Salt
M.F.: C11H17N2O3 Na
M.W.: 225.27 22.99
CAS#: 101769-87-3
Specification: 10mg/vial,25mg/vial,50mg/vial