Products
HomeProducts Pilocarpine Pilocarpine EP Impurity B Sodium Salt
small
big

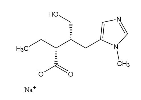
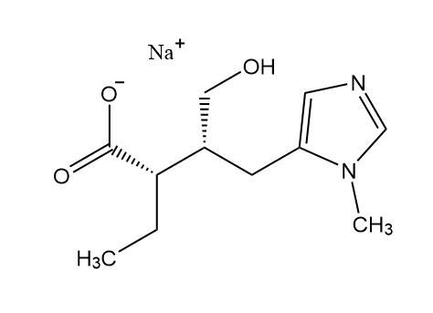
Pilocarpine EP Impurity B Sodium Salt

CAT#: P29812
Product Name: Pilocarpine EP Impurity B Sodium Salt
M.F.: C11H17N2O3 Na
M.W.: 225.27 22.99
CAS#: 92598-79-3
Specification: 10mg/vial,25mg/vial,50mg/vial