Products
HomeProducts Polyquaternium Polyquaternium 1
small
big

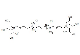
Polyquaternium 1

CAT#: P30003
Product Name: Polyquaternium 1
M.F.: C22H48N3O6[C6H12N . Cl]n . 3Cl
M.W.: 450.64[98.17 35.45]n 3x35.45
CAS#: 75345-27-6
Specification: 10mg/vial,25mg/vial,50mg/vial