Products
HomeProducts Anidulafungin Anidulafungin Ring Opening Impurity
small
big

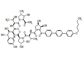
Anidulafungin Ring Opening Impurity

CAT#: A20663
Product Name: Anidulafungin Ring Opening Impurity
M.F.: C58H73N7O17
M.W.: 1140.27
CAS#: 166663-25-8 (non-labelled)
Specification: 10mg/vial,25mg/vial,50mg/vial