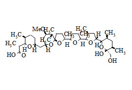
Nigericin

Home Products Nigericin