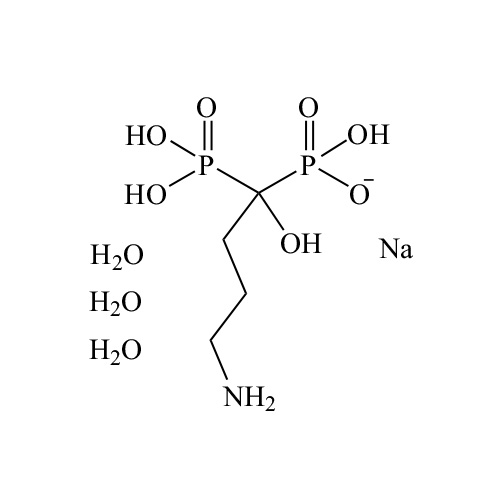
Alendronate

Home Products Alendronate